于贵瑞研究团队研究成果:中国大气氮沉降的转型变化新趋势

  大气氮沉降增加是全球变化最重要特征之一,也是反映大气环境质量状况变化的重要指标,它对全球尺度的粮食生产、碳氮循环及环境质量均具有重要影响。中国作为全球最大的发展中国家,也被确认为全球氮沉降最严重的区域之一,人们预测中国的氮沉降可能会在较长时间内持续而且快速地增长,并且人们也基于这种预测来开展氮沉降生态环境效应试验研究、环境质量状态评估及环境治理政策研究。 

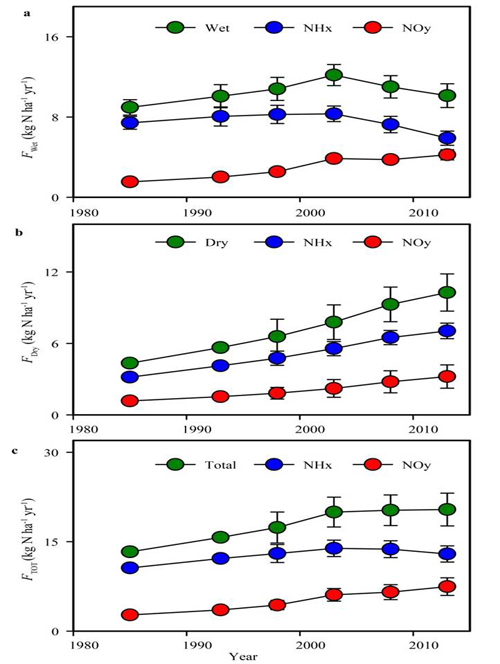
  长期以来,关于中国氮沉降动态变化和空间格局已开展了较多研究,但是因为缺乏涵盖全国范围的长时间序列全组分氮沉降科学数据,一直难以给出中国区域大气氮沉降总量及各组分相对贡献的时间和空间格局整体性科学认知,限制了人们对氮沉降时空变异影响因子及驱动机制的理解。针对该科学难题,中国科学院地理科学与资源研究所于贵瑞研究团队与国内外同行合作,以中国生态系统研究网络(CERN)大气湿沉降观测平台观测研究数据为基础,整合了中国农业大学氮沉降观测网络(NNDMN)、中国气象局国家酸监测网的观测数据及文献检索数据,进而研制开发了以GOMESCIAMACHYOMI卫星观测的NO2柱浓度数据和IASI卫星观测的NH3柱浓度数据为基础的大气干沉降遥感反演模型,首次构建了1980–2015年期间的“中国区域大气干沉降和湿沉降全组分动态变化数据集”,分析了大气总氮沉降及各组分(干沉降、湿沉降、干湿比和铵销比)的动态变化和空间格局,定量揭示了农业施肥、畜牧养殖及能源消耗对大气氮沉降总量及各组分时空变异的影响和驱动机制。 

  相关成果近期在线发表于国际著名刊物《Nature Geoscience》。该研究发现了中国氮沉降总量及沉降模式变化的新趋势,诠释了经济结构调整和环境保护措施对大气氮沉降时空变异的影响机制。研究发现了中国大气氮沉降转型变化的三个重要特征:其一是近年来虽然中国区域的NO3氮沉降还在持续增加,但是NH4+湿沉降显著降低,致使全国氮沉降总量已由以往的快速增长转型为趋稳状态;其二是大气干沉降增加导致了干湿沉降比的变化,由以往的以湿沉降为主逐步转型为湿沉降与干沉降并重;其三是大气沉降中的NH4+NO3比减小,NO3氮沉降贡献在持续增加,NH4+氮沉降的贡献则降低,逐渐由以往的以NH4+沉降为主的氮沉降模式转换为NH4+NO3氮沉降贡献并重的新模式。 

  通过深入分析证明,中国大气氮沉降过去35年间的转型变化是经济结构调整和多种环境控制措施的共同作用结果,在一定程度上实证我国过去十多年的系列环境控制措施对大气环境治理已见成效,这不仅为中国环境治理提供了重要科学依据,也将为其他发展中国家的生态环境保护提供决策参考。此外,该研究结果还将成为今后的氮沉降生态环境效应试验和环境质量状态评估研究必须考虑的观测事实,迫切需要我们重新思考或重新评估大气氮沉降对陆地生态系统生产力、生物多样性、群落结构及碳氮循环的潜在影响,更需要人们基于这种大气氮沉降转型变化新趋势,更加科学地调整中国的大气环境治理措施和政策、优化生态环境治理体系。 

  该论文是研究团队近十余年来关于大气氮沉降通量观测研究的集成性成果,衷心感谢论文共同作者们的贡献,感谢团队的工作人员和研究生们对前期数据采集和集成分析的贡献,感谢CERN的野外台站在氮沉降样品收集过程中的鼎力协助。 

  上述研究获得国家重点基础研究发展计划项目(2016YFA0600104,2017YFA0604803)、中国科学院战略性先导科技专项(XDA19020302)、国家自然科学基金项目(31872690,31700377,31570471,31290221)、中国科学院生态系统网络观测与模拟重点实验室青年团队项目(LENOM2016Q0005)和中国博士后创新人才支持计划(BB/N013468/1)等项目的支持。    

  论文信息:  

  Yu GR*, Jia YL, He NP, Zhu JX, Chen Z, Wang QF, Piao SL, Liu XJ, He HL, Guo XB, Zhang W, Li P, Ding GA, Goulding K. 2019. Stabilisation of atmospheric nitrogen deposition in China over the past decades. Nature Geoscience, doi: 10.1038/s41561-019-0352-4.     

  原文链接

 

1:中国大气氮沉降的时间动态a湿沉降; b干沉降; c总沉降 

 
  图2中国大气氮沉降的组分比例时间动态a干湿比b铵销比 
 

图3:中国社会经济结构转型与环境控制措施共同驱动了中国氮沉降的时空动态及其转折 


附件下载: