中国陆地生态系统生物能值时空动态及其对国家生物质能源战略的启示

  植被所固定的太阳能既是生态系统运行最重要、最基本的驱动力,同时也是一种可再生的生物质能源。中国作为世界上最大的能源消费国,生物质能源占能源消耗总量不足1%,而传统的化石燃料却长期占能源消耗总量的60%以上。中国现有的能源格局会排放大量的CO2,加剧全球暖化效应,并引发一系列环境问题,制约着国家的可持续发展战略。 

  当前,生物质能源作为一种重要的可再生能源,其发展与利用受到各国政府和公众的广泛关注。然而,受原料供应和应用技术的限制,生物质能的应用和推广远落后于预期,特别是一些农业传统国家,其耕地开发接近饱和,很难有新的、可用于种植优质能源作物的土地。为了促进生物质能产业的发展,科研工作者提出了可通过多源的生物质能供应来解决生物质能原料供给不足的观点,其中,欧美发达国家发展最快,并对其国家的生物质能多源供应潜力开展了大量的评估工作(甚至包括清除入侵物种来获得生物质能),并期望能整合生物质能原料供应作为一项重要的生态系统服务功能,以解决自然保护领域高投入低产出的窘境。然而,目前中国的生物质能产业仍强烈依赖于传统生物质能原料的供应,这严重阻碍了中国生物质能产业的发展。 

 

图1 中国陆地生态系统植被(包括农田秸秆)生物质能估算结果 

   中国生物能值储量、时空格局及可应用潜力如何?其区域分布特征与当前社会区域发展是否一致?当前,这些基本问题仍不清楚,很大程度限制了中国生物质能的发展和应用潜力。虽然学者们针对中国生物质能潜力开展了很多评估工作,但绝大多数评估局限于某一方面,如针对农业秸秆,森林砍伐废弃物或边际土地开发潜力等,鲜有开展综合性潜力评估的研究。中国科学院地理科学与资源研究所何念鹏团队利用其系统性植物功能性状数据之热值(中国生态系统植物功能性状数据库, China_Traits),首先获得了不同区域、不同植被类型、不同器官(叶、枝、干、根)的热值含量数据,再结合大量地面调查数据和本小组自主开发的FCS模型预测的未来气候变化情景(RCP 8.5, RCP 4.5, and RCP 2.6)下中国植被生物量增长及其分配数据,首次系统揭示了中国陆地生态系统植被的生物质能储量、空间分布规律及其时间动态(19802060年);并探索其区域分配特征与不同区域社会经济发展的关系,为中国制定多源的生物质能供应的国家战略决策提供了重要的基础数据,并为相关研究工作的深入开展奠定了扎实的基础。 

 

图2 中国陆地生态系统生物质能的时空演变规律 

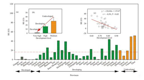
  中国陆地生态系统植被的生物质能储量为535.91 EJ,相当于18.29GT标准煤或三峡大坝1520多年的发电量总和(图1和图2)。19802060年,中国植被的生物质能储量一直呈增加的趋势,但如果按现在植被类型不改变情景下,将在2030年增速达到峰值。同时,研究人员也发现中国生物质能的储量与区域发展程度呈现显著负相关(图3)。研究结果说明中国具有丰富的生物质能储量,政府应该大力支持生物质能产业的发展,尤其是在目前煤和生物质能共气化技术迅猛发展的背景下,生物质能的高效利用技术应该被大力发展。同时,政府应该注意其区域发展的可持续性,落后地区的部分生物质能利用可通过经济补偿转移至发达地区以满足其能源需求,实现双赢。

 

 图3 生物质能与区域发展的关系

  论文第一作者为中科院地理资源研究所研究生闫鏷、通讯作者为何念鹏;近期在线发表于可持续能源与燃料领域顶级期刊《Renewable and Sustainable Energy Reviews》(IF=10.56)。研究受到中国科学院战略先导专项(XDA23080401)、国家自然科学基金项目31988102, 31870437, 31872683 )和国家重点研发计划项目(2016YFC0500202, 2017YFA0604803)等资助。该文也是他们团队将传统植物功能性状拓展到群落、生态系统和区域后,用于探讨国家层次生态环境问题的新尝试。     

  论文信息Yan P, Xiao CW, Xu L, Yu GR, Li A, Piao SL, He NP*. 2020. Biomass energy in Chinas terrestrial ecosystems: Insights into the nations sustainable energy supply. Renewable and Sustainable Energy Reviews, 127, 109857. 

     论文链接


附件下载: